西城区城市切换
西城区宁波双美塑业有限公司
7*24小时服务热线:
15336666177
新闻中心news
行业资讯

聚碳酸酯(PC)——五大工程塑料之首

作者:叶莹莹 日期:2023-12-21 人气:1148

聚碳酸酯(英文简称PC)是一种高分子聚合物,其分子链中含有碳酸酯基。根据酯基的结构,聚碳酸酯可分为脂肪族、芳香族、脂肪族-芳香族等多种类型。然而,由于脂肪族和脂肪族-芳香族聚碳酸酯的机械性能较低,它们在工程塑料领域的应用受到了限制。目前,仅有芳香族聚碳酸酯实现了工业化生产。由于聚碳酸酯结构上的特殊性,它已成为五大工程塑料中增长速度较快的通用工程塑料。

聚碳酸酯的合成

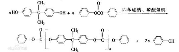
聚碳酸酯是一种强韧的热塑性树脂,其名称来源于其内部的-CO3基团。可由双酚A和氧氯化碳(COCl2)合成。现较多使用的方法为熔融酯交换法即双酚A和碳酸二苯酯通过酯交换和缩聚反应合成。

双酚A和碳酸二苯酯反应原理:

聚碳酸的性能

化学性质

聚碳酸酯(PC)是碳酸的聚酯类,碳酸本身并不稳定,但其衍生物(如光气,尿素,碳酸盐,碳酸酯)都有一定稳定性。

按醇结构的不同,可将聚碳酸酯分成脂族和芳族两类。

脂族聚碳酸酯。如聚亚乙基碳酸酯,聚三亚甲基碳酸酯及其共聚物,熔点和玻璃化温度低,强度差,不能用作结构材料;但利用其生物相容性和生物可降解的特性,可在药物缓释放载体,手术缝合线,骨骼支撑材料等方面获得应用。

聚碳酸酯耐弱酸,耐弱碱,耐中性油。聚碳酸酯不耐紫外光,不耐强碱。

PC是一种线型碳酸聚酯,分子中碳酸基团与另一些基团交替排列,这些基团可以是芳香族,可以是脂肪族,也可两者皆有。双酚A型PC是较重要的工业产品。

PC是几乎无色的玻璃态的无定形聚合物,有很好的光学性。PC高分子量树脂有很高的韧性,悬臂梁缺口冲击强度为600~900J/m,未填充牌号的热变形温度大约为130°C ,玻璃纤维增强后可使这个数值增加10°C。PC的弯曲模量可达2400MPa以上,树脂可加工制成大的刚性制品。低于100°C 时,在负载下的蠕变率很低。PC耐水解性差,不能用于重复经受高压蒸汽的制品。

PC主要性能缺陷是耐水解稳定性不够高,对缺口敏感,耐有机化学品性,耐刮痕性较差,长期暴露于紫外线中会发黄。和其他树脂一样,PC容易受某些有机溶剂的侵蚀。

PC材料具有阻燃性。抗氧化性。

物理性质

密度:1.18-1.22 g/cm^3

线膨胀率:3.8×10^-5 cm/°C

热变形温度:135°C 低温-45°C

聚碳酸酯无色透明,耐热,抗冲击,阻燃BI级,在普通使用温度内都有良好的机械性能。同性能接近聚甲基丙烯酸甲酯相比,聚碳酸酯的耐冲击性能好,折射率高,加工性能好,不需要添加剂就具有UL94 V-2级阻燃性能。但是聚甲基丙烯酸甲酯相对聚碳酸酯价格较低,并可通过本体聚合的方法生产大型的器件。

材料的耐磨性是相对的,把ABS材料与PC材料做比较的话,那就是PC材料耐磨性比较好。但是相对于大部分的塑胶材料来看,聚碳酸酯的耐磨性是比较差的,处于中下水平,所以一些用于易磨损用途的聚碳酸酯器件需要对表面进行特殊处理。

聚碳酸酯的分类

防静电PC、导电PC、加纤防火PC、抗紫外线耐候PC、食品级PC、抗化学性PC。

聚碳酸酯的应用

PC工程塑料的三大应用领域是玻璃装配业、汽车工业和电子、电器工业,其次还有工业机械零件、光盘、包装、计算机等办公室设备、医疗及保健、薄膜、休闲和防护器材等。PC可用作门窗玻璃,PC层压板广泛用于银行、使馆、拘留所和公共场所的防护窗,用于飞机舱罩,照明设备、工业安全档板和防弹玻璃。

PC板可做各种标牌,如汽油泵表盘、汽车仪表板、货栈及露天商业标牌、点式滑动指示器, PC树脂用于汽车照明系统,仪表盘系统和内装饰系统,用作前灯罩,带加强筋汽车前后档板,反光镜框,门框套、操作杆护套、阻流板、PC被应用用作接线盒、插座、插头及套管、垫片、电视转换装置,电话线路支架下通讯电缆的连接件,电闸盒、电话总机、配电盘元件,继电器外壳。PC可做低载荷零件,用于家用电器马达、真空吸尘器,洗头器、咖啡机、烤面包机、动力工具的手柄,各种齿轮、蜗轮、轴套、导规、冰箱内搁架。PC是光盘储存介质的理想材料。

PC瓶(容器)透明、重量轻、抗冲性好,耐一定的高温和腐蚀溶液洗涤,作为可回收利用瓶(容器)。PC及PC合金可做计算机架,外壳及辅机,打印机零件。改性PC耐高能辐射杀菌,耐蒸煮和烘烤消毒,可用于采血标本器具、血液充氧器、外科手术器械、肾透析器等、PC可做头盔和安全帽、防护面罩、墨镜和运动护眼罩。PC薄膜广泛用于印刷图表、医药包装、膜式换向器。

聚碳酸酯的应用开发是向高复合、高功能、专用化、系列化方向发展,已推出了光盘、汽车、办公设备、箱体、包装、医药、照明、薄膜等多种产品各自专用的品级牌号。

建材行业

聚碳酸酯板材具有良好的透光性,抗冲击性,耐紫外线辐射及其制品的尺寸稳定性和良好的成型加工性能,使其比建筑业传统使用的无机玻璃具有明显的技术性能优势。中国建有聚碳酸酯建材中空板生产线20余条,年需用聚碳酸酯7万吨左右,到2005年达到14万吨。

汽车制造业

聚碳酸酯具有良好的抗冲击、抗热畸变性能,而且耐候性好、硬度高,因此适用于生产轿车和轻型卡车的各种零部件,其主要集中在照明系统、仪表板、加热板、除霜器及聚碳酸酯合金制的保险杠等。

根据发达国家数据,聚碳酸酯在电子电气、汽车制造业中使用比例在40%~50%,中国在该领域的使用比例只占10%左右,电子电气和汽车制造业是中国迅速发展的支柱产业,未来这些领域对聚碳酸酯的需求量将是巨大的。中国汽车总量多,需求量大,因而聚碳酸酯在这一领域的应用是极有拓展潜力的。

医疗器械

由于聚碳酸酯制品可经受蒸汽、清洗剂、加热和大剂量辐射消毒,且不发生变黄和物理性能下降,因而被广泛应用于人工肾血液透析设备和其他需要在透明、直观条件下操作并需反复消毒的医疗设备中。如生产高压注射器、外科手术面罩、一次性牙科用具、血液分离器等。

航空航天

随着航空、航天技术的迅速发展,对飞9机和航天器中各部件的要求不断提高,使得PC在该领域的应用也日趋增加。据统计,仅一架波音型飞机上所用聚碳酸酯部件就达2500个,单机耗用聚碳酸酯约2吨。而在宇宙飞船上则采用了数百个不同构型并由玻璃纤维增强的聚碳酸酯部件及宇航员的防护用品等。

包装领域

在包装领域出现的新增长点是可重复消毒和使用的各种型号的储水瓶。由于聚碳酸酯制品具有质量轻,抗冲击和透明性好,用热水和腐蚀性溶液洗涤处理时不变形且保持透明的优点,一些领域PC瓶已完全取代玻璃瓶。据预测,随着人们对饮用水质量重视程度的不断提高,聚碳酸酯在这方面的用量增长速度将保持在10%以上,预计到2005年将达到6万吨。

电子行业

由于聚碳酸酯在较宽的温、湿度范围内具有良好而恒定的电绝缘性,是优良的绝缘材料。同时,其良好的难燃性和尺寸稳定性,使其在电子电器行业形成了广阔的应用领域。

聚碳酸酯树脂主要用于生产各种食品加工机械,电动工具外壳、机体、支架、冰箱冷冻室抽屉和真空吸尘器零件等。而且对于零件精度要求较高的计算机、视频录像机和彩色电视机中的重要零部件方面,聚碳酸酯材料也显示出了极高的使用价值。

光学透镜

聚碳酸酯以其独特的高透光率、高折射率、高抗冲性、尺寸稳定性及易加工成型等特点,在该领域占有极其重要的位置。采用光学级聚碳酸配制作的光学透镜不仅可用于照相机、显微镜、望远镜及光学测试仪器等,还可用于电影投影机透镜、复印机透镜、红外自动调焦投影仪透镜、激光束打印机透镜,以及各种棱镜、多面反射镜等诸多办公设备和家电领域,其应用市场极为广阔。

聚碳酸酯在光学透镜方面的另一重要应用领域便是作为儿童眼镜、太阳镜和安全镜和成人眼镜的镜片材料。世界眼镜业聚碳酸酯消费量年均增长率一直保持在20%以上,显示出极大的市场活力。

光盘制造业

随着信息产业的崛起,由光学级聚碳酸酯制成的光盘作为新一代音像信息存储介质,正在以极快的速度迅猛发展。聚碳酸酯以其优良的性能特点因而成为世界光盘制造业的主要原料。世界光盘制造业所耗聚碳酸酯量已超过聚碳酸酯整体消费量的20%,其年均增长速度超过10%。中国光盘产量增长迅速,据国家新闻出版总署公布的数字,2002年全国共有光盘生产线748条,年耗光学级聚碳酸酯约8万吨,且全部进口。因而聚碳酸酯在光盘制造领域的应用前景是极为广阔的。

雪缘塑业专注于汽车塑料紧固件开发加工!

本文资料来源于网络,如有侵权,请联系作者删除。EMAIL:yyy@sharozen.com






 


0
0
付款方式
×